CLUB NAKED
  新規投稿 ┃ ツリー表示 ┃ 一覧表示 ┃ トピック表示 ┃ 検索 ┃ 設定 ┃ ホーム  
190 / 279 ツリー ←次へ | 前へ→

明日はダイチャレ関東最終戦です。 いちごや 02/10/26(土) 13:16
┗ ダイチャレ関東最終戦お疲れ様です! 西野 02/10/27(日) 23:53 [添付]
 ┣ Re:ダイチャレ関東最終戦お疲れ様です! いちごや 02/10/28(月) 19:48 [添付]
 ┃┗ Re:ダイチャレ関東最終戦お疲れ様です! あき136 02/10/28(月) 21:52
 ┣ ダイチャレ関東最終戦結果L2 西野 02/10/29(火) 1:36 [添付]
 ┣ ダイチャレ関東最終戦結果L2T 西野 02/10/29(火) 1:38 [添付]
 ┣ ダイチャレ関東最終戦結果L 西野 02/10/29(火) 1:41 [添付]
 ┣ ダイチャレ関東最終戦結果L4/L4T 西野 02/10/29(火) 1:45 [添付]
 ┗ Re:ダイチャレ関東最終戦お疲れ様です! 西野 02/10/29(火) 1:46 [添付]
 ┗ 上はGAの結果です 西野 02/10/29(火) 1:50 [添付]
 ┗ れざるとアップ感謝! okonishi 02/10/29(火) 17:36

明日はダイチャレ関東最終戦です。
 いちごや  - 02/10/26(土) 13:16 -

引用なし
パスワード
   参加予定は、ゆうきさん、HANEPONさん、yatarouさん、
KOZさん、西野さん、後は?と自分です。
皆さん長距離ドライブになると思いますが安全運転で事故の無いようにお願いします。
では、当日会場にて!

ダイチャレ関東最終戦お疲れ様です!
 西野 E-MAIL  - 02/10/27(日) 23:53 -

引用なし
パスワード

[添付] 〜添付ファイル〜
・名前 : DSCF0001.JPG
・サイズ : 57.0KB
   皆様無事帰宅されましたでしょうか?
来年もよろしくお願いします。
とりあえず写真1枚

添付画像
【DSCF0001.JPG : 57.0KB】

Re:ダイチャレ関東最終戦お疲れ様です!
 いちごや  - 02/10/28(月) 19:48 -

引用なし
パスワード

[添付] 〜添付ファイル〜
・名前 : P1010036.JPG
・サイズ : 121.6KB
   ▼西野さん:
>皆様無事帰宅されましたでしょうか?
>来年もよろしくお願いします。
>とりあえず写真1枚
お疲れ様でした。
無事22時半ぐらいに家に着きました。
来年の最終戦は、冬自宅で出かけましょうね。
では、私も1枚!

添付画像
【P1010036.JPG : 121.6KB】

Re:ダイチャレ関東最終戦お疲れ様です!
 あき136 WEB  - 02/10/28(月) 21:52 -

引用なし
パスワード
   参加の皆様お疲れさまでした。
今日帰宅組の方もいらっしゃるのかしら?

ネイキッドいっぱいでいいですねー。
でも、どれがどなたのネイキッドなのかが分かります。(笑)

Dすぽこぺん、オープンのままで走ってたんですか?
一応ロールバーが付いてますが、、、、。
って、この車がひっくり返ることはダイチャレではまず無い!?
来月の関西戦にはエントリーしてくれるのでしょうか?
見てみたいー。

ダイチャレ関東最終戦結果L2
 西野 E-MAIL  - 02/10/29(火) 1:36 -

引用なし
パスワード

[添付] 〜添付ファイル〜
・名前 : L2.png
・サイズ : 17.6KB
   大竹さ〜ん、どうしちゃったの〜?

添付画像
【L2.png : 17.6KB】

ダイチャレ関東最終戦結果L2T
 西野 E-MAIL  - 02/10/29(火) 1:38 -

引用なし
パスワード

[添付] 〜添付ファイル〜
・名前 : L2T.png
・サイズ : 34.9KB
   頭(項目名)が切れちゃってます・・・

添付画像
【L2T.png : 34.9KB】

ダイチャレ関東最終戦結果L
 西野 E-MAIL  - 02/10/29(火) 1:41 -

引用なし
パスワード

[添付] 〜添付ファイル〜
・名前 : L.png
・サイズ : 12.4KB
   4走目をキャンセルしたコペンはダイハツ関係者かな?
時間が迫ってたから・・・

添付画像
【L.png : 12.4KB】

ダイチャレ関東最終戦結果L4/L4T
 西野 E-MAIL  - 02/10/29(火) 1:45 -

引用なし
パスワード

[添付] 〜添付ファイル〜
・名前 : L4L4T.png
・サイズ : 16.8KB
   下から3番目〜

添付画像
【L4L4T.png : 16.8KB】

Re:ダイチャレ関東最終戦お疲れ様です!
 西野 E-MAIL  - 02/10/29(火) 1:46 -

引用なし
パスワード

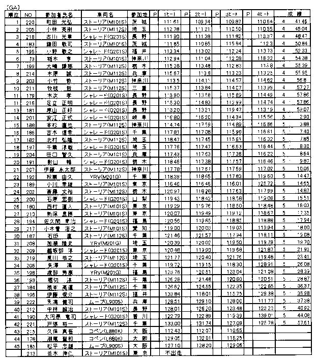
[添付] 〜添付ファイル〜
・名前 : GA.png
・サイズ : 19.2KB
   あらこんなところにムーブとコペンが・・・

添付画像
【GA.png : 19.2KB】

上はGAの結果です
 西野 E-MAIL  - 02/10/29(火) 1:50 -

引用なし
パスワード

[添付] 〜添付ファイル〜
・名前 : DSCF0024.JPG
・サイズ : 53.8KB
   ついでに写真一枚、

添付画像
【DSCF0024.JPG : 53.8KB】

れざるとアップ感謝!
 okonishi  - 02/10/29(火) 17:36 -

引用なし
パスワード
   西野さま
ありがとうございました!

皆様ご無事に帰還されたようで何よりです。

来年こそカイキン狙うゾ!?

ではでは。。。

  新規投稿 ┃ ツリー表示 ┃ 一覧表示 ┃ トピック表示 ┃ 検索 ┃ 設定 ┃ ホーム  
190 / 279 ツリー ←次へ | 前へ→
ページ:  ┃  記事番号:
29028
C-BOARD v3.20m is Free.